Eine Zero-Suppressed Binary Decision Diagram (ZDD) ist eine kompakte, datenstrukturierte Darstellung von Mengen. Sie wird speziell für kombinatorische Probleme verwendet, bei denen eine Vielzahl von Teilmengen einer universellen Menge untersucht werden muss. Durch die Eliminierung redundanter Pfade in der Repräsentation bietet die ZDD eine effiziente Möglichkeit, diese Probleme zu lösen[1][2].
Knoten:
0- und 1-Kanten:
Terminalknoten:
Reduktion:
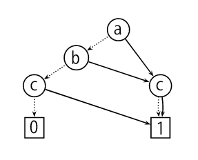
Die reduzierte ZDD, die darstellt. wobei . Gestrichelte Linien repräsentieren 0-Kanten und durchgezogene Linien repräsentieren 1-Kanten.
Der SIMPATH-Algorithmus von Donald Knuth ist ein Ansatz zur Konstruktion einer ZDD, die alle --Pfade in einem ungerichteten Graphen repräsentiert. Dabei stellt die ZDD sicher, dass nur gültige Pfade (ohne Zyklen und mit korrekten Start- und Endpunkten) erfasst werden.
Die Mate-Funktion ist ein zentrales Konzept des SIMPATH-Algorithmus. Sie verfolgt den Verbindungszustand der Knoten im Graphen basierend auf den bisher getroffenen Entscheidungen über die Kanten. Weitere Details zur Mate-Funktion finden Sie hier.
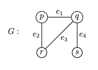
Betrachten wir den Graphen mit den Knoten und den Kanten . .
Hinweis:
Jede Kante wird in einer festen Reihenfolge verarbeitet, wobei gilt: . Diese Reihenfolge sorgt für Konsistenz und erleichtert den Aufbau der Zero-Suppressed Decision Diagram (ZDD)
Ziel:
Unser Ziel ist es, ein Path Matching zu erreichen.
¶ Definition von
Ein Pfad in einer ZDD ist gültig, wenn er in einem Terminalknoten endet. Die Menge umfasst alle Kanten , die durch 1-Kanten im Pfad ausgewählt wurden:
„“.
Kurz: ist die Menge der Kanten, die im Pfad enthalten sind.
Jeder innere Knoten repräsentiert eine Entscheidung für eine Kante : Aufnahme (1-Kante) oder Nichtaufnahme (0-Kante).
Der Algorithmus wendet die gleiche Entscheidungsmethode für die nächste Kante an, wobei die Mate-Funktion entsprechend angepasst wird.
Die Mate-Funktion ordnet jedem Knoten im Graphen einen Zustand zu. Dieser Zustand beschreibt, wie der Knoten im aktuellen Pfad verbunden ist.
Die Mate-Funktion mate(v) gibt für jeden Knoten im Graphen den Zustand des Knotens an:
| Zustand | Beschreibung | Beispiel |
|---|---|---|
| Nicht verbunden | Der Knoten ist nicht mit einem anderen Knoten verbunden (Grad 0) und bleibt mit sich selbst verknüpft. | Ein isolierter Knoten, der noch nicht in den Pfad aufgenommen wurde. |
| Verbunden | Knoten ist mit einem anderen Knoten verbunden (Grad 1). Wird auf abgebildet. | Knoten ist mit Knoten verbunden, somit gilt: . |
| Nicht mehr relevant | Knoten wird als Zwischenpunkt (Grad 2) betrachtet und für den aktuellen Pfad nicht mehr relevant. | Knoten , der bereits als Zwischenpunkt in einem unvollständigen Pfad betrachtet wurde. |
Prüfung auf Zyklen:
Die Mate-Funktion verhindert die Bildung von Zyklen im Pfad.
Falls ein Zyklus entsteht, wird der entsprechende Knoten aus der ZDD entfernt.
Verfolgung von Verbindungen:
Effizienzsteigerung:
Dieser Algorithmus stellt alle möglichen Pfad-Zuordnungen in einem Graphen dar, indem er eine Zero-Suppressed Binary Decision Diagram (ZDD) verwendet. Der Algorithmus durchläuft alle Kanten eines Graphen und prüft, ob diese Kanten in den Pfad aufgenommen werden können.
begin
Erstelle einen Wurzelknoten und zwei Terminalknoten 0 und 1
Setze N1 ← {n_root}, Ni ← ∅ für i = 2, . . . , |E| und mate_(n_root) als Identität auf V
Für jede Kante i = 1, . . . , |E|:
Für jeden Knoten n ∈ Ni:
Setze das 0-Kind von n auf GN(i + 1, mate_n|V ≥ei+1)
Wenn maten die Kante ei ablehnt, setze das 1-Kind von n auf 0
Andernfalls setze das 1-Kind von n auf GN(i + 1, MU(mate_n, ei)|V ≥ei+1)
Ende
Rückgabe des erstellten Diagramms
Ende
Dieser Algorithmus beschreibt, wie eine Zero-Suppressed Binary Decision Diagram (ZDD) aufgebaut wird, um alle möglichen --Pfade in einem Graphen zu finden.
Wurzelknoten und Terminalknoten erstellen:
In Zeile 2 wird der Wurzelknoten n_root erstellt, der den Ausgangspunkt repräsentiert. Zusätzlich werden zwei Terminalknoten (0 und 1) erstellt, um ungültige und gültige Pfade darzustellen.
Startzustand der Mate-Funktion:
In Zeile 3 wird die Mate-Funktion des Wurzelknotens initialisiert: Jeder Knoten wird zunächst mit sich selbst verbunden, da zu Beginn keine Kanten ausgewählt wurden.
Diese Schleife iteriert über alle Kanten des Graphen: .
Für jede Kante entscheidet der Algorithmus, ob sie in den Pfad aufgenommen wird oder nicht. Zu jedem Zeitpunkt enthält die Menge die aktiven Knoten für die -te Phase.
Für jeden Knoten in der Menge wird geprüft, wie die Kante verarbeitet werden soll:
Zeile 6: 0-Kante (Ausschluss der Kante):
Wird die Kante nicht in den Pfad aufgenommen, wird ein Kindknoten über die Funktion erstellt. Die Mate-Funktion bleibt dabei unverändert.
Zeilen 7–8: 1-Kante (Aufnahme der Kante):
Wird die Kante in den Pfad aufgenommen, wird die Mate-Funktion durch die Operation aktualisiert, um die Verbindung der Knoten widerzuspiegeln.
Falls die Aufnahme der Kante zu einem ungültigen Zustand (z. B. Zyklus) führt, wird der Knoten über die 1-Kante mit dem Terminalknoten 0 verbunden.
Nach der Verarbeitung aller Kanten enthält der ZDD nur gültige Lösungen. Redundante Teilgraphen werden dabei zu einem einzigen Knoten zusammengefasst.
Schließlich wird das erzeugte Diagramm zurückgegeben, das alle --Pfade repräsentiert.
GN(i, m)(Zeilen 6, 8):
Diese Funktion erstellt einen neuen Knoten für die Kante und die Mate-Funktionm. Falls ein Knoten mit demselben Zustand bereits existiert, wird der vorhandene Knoten wiederverwendet.
MU(m, e_i)(Zeile 8):
Diese Funktion aktualisiert die Mate-Funktion, wenn die Kante in den Pfad aufgenommen wird. Sie sorgt dafür, dass die Verbindung zwischen den Knoten korrekt abgebildet wird.
Effiziente Speicherverwaltung:
Durch die Reduktion redundanter Teilgraphen benötigt die ZDD deutlich weniger Speicherplatz als andere Methoden.[3]
Kompakte Darstellung:
Die ZDD stellt nur gültige Lösungen dar, wodurch ungültige Pfade systematisch eliminiert werden.[1:5]
Abb. 1,2,3,4,5,6,7: Yoshinaka, Ryo, Toshiki Saitoh, Jun Kawahara, Koji Tsuruma, Hiroaki Iwashita, and Shin-ichi Minato. “Finding All Solutions and Instances of Numberlink and Slitherlink by ZDDs.” Algorithms 5, no. 2 (April 5, 2012): 176–213. https://doi.org/10.3390/a5020176.URL
Yoshinaka, Ryo, Toshiki Saitoh, Jun Kawahara, Koji Tsuruma, Hiroaki Iwashita, and Shin-ichi Minato. “Finding All Solutions and Instances of Numberlink and Slitherlink by ZDDs.” Algorithms 5, no. 2 (April 5, 2012): 176–213. https://doi.org/10.3390/a5020176.
URL ↩︎ ↩︎ ↩︎ ↩︎ ↩︎ ↩︎
Matsuda, Kotaro, Shuhei Denzumi, and Kunihiko Sadakane. “Storing Set Families More Compactly with Top ZDDs.” Algorithms 14, no. 6 (May 31, 2021): 172. https://doi.org/10.3390/a14060172.URL ↩︎
Zero-suppressed decision diagram (2025, Jan. 19). In Wikipedia. URL ↩︎